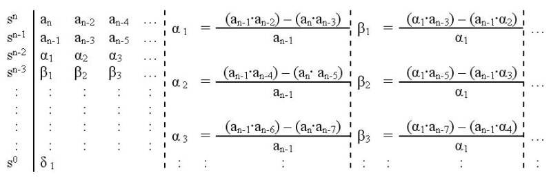
1.5 Criterio de estabilidad de Routh Hurwitz
El teorema de Routh–Hürwitz sirve para analizar la estabilidad de los sistemas mecanicos.
Básicamente, el teorema proporciona un criterio capaz de determinar en cuál semiplano (izquierdo o derecho) del plano complejo están localizadas las raíces del denominador de la función de transferencia de un sistema; y en consecuencia, conocer si dicho sistema es estable o no. Si tras aplicar el criterio nos da como resultado que todos los polos están en el semiplano izquierdo, el sistema es estable, y si hay un mínimo de un polo en el semiplano derecho, el sistema es inestable.
El criterio se refiere a la función de transferencia en lazo cerrado del sistema. Para aplicar el criterio a un sistema descrito por su función de transferencia en lazo abierto, hay que incluir la realimentación
El criterio de Routh-Hurwitz también se utiliza para el trazado del lugar en las raices. En este caso, dicho procedimiento de análisis estudia la función de transferencia del sistema en bucle abierto 1+K·Gba(s)=0 (siendo K la ganancia variable del sistema). Su objetivo es determinar los puntos de corte del LdR con el eje imaginario. Dichos puntos marcan el límite de estabilidad del sistema, dicho en otras palabras, determinan el límite en el que los polos del sistema en bucle cerrado pasan al semiplano derecho complejo y por lo tanto el sistema se vuelve inestable. Como es evidente, tras la aplicación del criterio de Routh-Hurwitz, los resultados obtenidos quedarán en función de la ganancia K, lo cual nos indicará a partir de qué valores de K el sistema pasará de estable a inestable (ganancia K límite).

A continuación te dejamos un video con la finalidad que entiendas de manera mas detallada este tema.
Añadir comentario
Comentarios